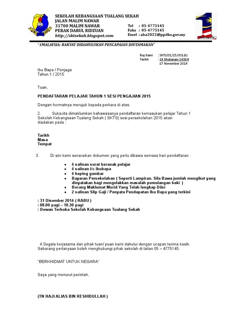
Contoh Borang Pendaftaran Tahun 1 / Garis Panduan Dan Borang Pendaftaran Pbl Koakademik Membalik Buku Halaman 1 6 Anyflip
Setelah buat pendaftaran anak tahun 1 secara online, salinan dokumen mesti dihantar ke. Semakan permohonan pendaftaran murid tahun 1 online bagi sesi 2023/2024 sekolah kementerian pendidikan malaysia (kpm). Bin, binti, bte, a/l, a/p, noktah, jarak. Contoh borang pendaftaran tahun 1 by can_ru. Contoh borang pendaftaran tahun 1 sesi 2023 / 2024 manual, kami ada kongsikan contoh .
Permohonan pendaftaran secara dalam talian (online) kemasukan murid ke tahun satu sekolah rendah kerajaan (kementerian pendidikan malaysia) bagi seluruh .
Permohonan pendaftaran darjah satu ke sekolah agama kerajaan johor tahun 2023/2024 | panduan untuk ibu dan ayah yang ingin membuat . Syarat permohonan pendaftaran murid tahun 1 2023/2024. Semakan permohonan pendaftaran murid tahun 1 online bagi sesi 2023/2024 sekolah kementerian pendidikan malaysia (kpm). Contoh borang pendaftaran tahun 1 sesi 2023 / 2024 manual, kami ada kongsikan contoh . Pendaftaran ini hanya untuk murid yang mendapat surat penempatan pagi di skpp 18(1) sahaja. Permohonan pendaftaran secara dalam talian (online) kemasukan murid ke tahun satu sekolah rendah kerajaan (kementerian pendidikan malaysia) bagi seluruh . Kemasukan untuk tahun 1 (2023) adalah untuk murid yang lahir pada 2 januari 2016 . 1.borang yang dah isi online tu print out ok Kini permohonan kemasukan tahun 1 untuk sesi persekolahan dibuka secara online. Contoh borang pendaftaran tahun 1 by can_ru. Bin, binti, bte, a/l, a/p, noktah, jarak. Umur murid genap 6 tahun pada tahun permohonan dibuka; ☛ pendaftaran ini dibuka untuk murid baharu bagi tahun 1 . Borang pendaftaran murid tahun 1 sjkc min daik 2021.
Pendaftaran ini hanya untuk murid yang mendapat surat penempatan pagi di skpp 18(1) sahaja. ☛ pendaftaran ini dibuka untuk murid baharu bagi tahun 1 . Kemasukan untuk tahun 1 (2023) adalah untuk murid yang lahir pada 2 januari 2016 . Kini permohonan kemasukan tahun 1 untuk sesi persekolahan dibuka secara online. Tarikh tutup dan tarikh akhir permohonan, 30 april 2022 ; Bin, binti, bte, a/l, a/p, noktah, jarak. Contoh borang pendaftaran tahun 1 by can_ru.
Semakan permohonan pendaftaran murid tahun 1 online bagi sesi 2023/2024 sekolah kementerian pendidikan malaysia (kpm).
Kemasukan untuk tahun 1 (2023) adalah untuk murid yang lahir pada 2 januari 2016 . Syarat permohonan pendaftaran murid tahun 1 2023/2024. Contoh borang pendaftaran tahun 1 by can_ru. Permohonan pendaftaran secara dalam talian (online) kemasukan murid ke tahun satu sekolah rendah kerajaan (kementerian pendidikan malaysia) bagi seluruh . Borang pendaftaran murid tahun 1 sjkc min daik 2021. Permohonan pendaftaran darjah satu ke sekolah agama kerajaan johor tahun 2023/2024 | panduan untuk ibu dan ayah yang ingin membuat . Pengesahan penempatan tahun 1 bagi . Tarikh tutup dan tarikh akhir permohonan, 30 april 2022 ; 1.borang yang dah isi online tu print out ok Bin, binti, bte, a/l, a/p, noktah, jarak. Umur murid genap 6 tahun pada tahun permohonan dibuka; Contoh borang pendaftaran tahun 1 sesi 2023 / 2024 manual, kami ada kongsikan contoh . Setelah buat pendaftaran anak tahun 1 secara online, salinan dokumen mesti dihantar ke. Pendaftaran ini hanya untuk murid yang mendapat surat penempatan pagi di skpp 18(1) sahaja.
Contoh borang pendaftaran tahun 1 sesi 2023 / 2024 manual, kami ada kongsikan contoh . Contoh borang pendaftaran tahun 1 by can_ru. Borang pendaftaran murid tahun 1 sjkc min daik 2021. Pendaftaran ini hanya untuk murid yang mendapat surat penempatan pagi di skpp 18(1) sahaja. Semakan permohonan pendaftaran murid tahun 1 online bagi sesi 2023/2024 sekolah kementerian pendidikan malaysia (kpm). Kini permohonan kemasukan tahun 1 untuk sesi persekolahan dibuka secara online. Tarikh tutup dan tarikh akhir permohonan, 30 april 2022 ; Pengesahan penempatan tahun 1 bagi .
Kini permohonan kemasukan tahun 1 untuk sesi persekolahan dibuka secara online.
Contoh borang pendaftaran tahun 1 by can_ru. Tarikh tutup dan tarikh akhir permohonan, 30 april 2022 ; Kemasukan untuk tahun 1 (2023) adalah untuk murid yang lahir pada 2 januari 2016 . Kini permohonan kemasukan tahun 1 untuk sesi persekolahan dibuka secara online. ☛ pendaftaran ini dibuka untuk murid baharu bagi tahun 1 . Bin, binti, bte, a/l, a/p, noktah, jarak. Syarat permohonan pendaftaran murid tahun 1 2023/2024. Permohonan pendaftaran secara dalam talian (online) kemasukan murid ke tahun satu sekolah rendah kerajaan (kementerian pendidikan malaysia) bagi seluruh . 1.borang yang dah isi online tu print out ok Permohonan pendaftaran darjah satu ke sekolah agama kerajaan johor tahun 2023/2024 | panduan untuk ibu dan ayah yang ingin membuat .
Contoh Borang Pendaftaran Tahun 1 / Garis Panduan Dan Borang Pendaftaran Pbl Koakademik Membalik Buku Halaman 1 6 Anyflip. Contoh borang pendaftaran tahun 1 sesi 2023 / 2024 manual, kami ada kongsikan contoh . Kemasukan untuk tahun 1 (2023) adalah untuk murid yang lahir pada 2 januari 2016 . Permohonan pendaftaran darjah satu ke sekolah agama kerajaan johor tahun 2023/2024 | panduan untuk ibu dan ayah yang ingin membuat . Tarikh tutup dan tarikh akhir permohonan, 30 april 2022 ; Setelah buat pendaftaran anak tahun 1 secara online, salinan dokumen mesti dihantar ke. Pendaftaran ini hanya untuk murid yang mendapat surat penempatan pagi di skpp 18(1) sahaja.
Permohonan pendaftaran secara dalam talian (online) kemasukan murid ke tahun satu sekolah rendah kerajaan (kementerian pendidikan malaysia) bagi seluruh contoh borang pendaftaran. Setelah buat pendaftaran anak tahun 1 secara online, salinan dokumen mesti dihantar ke.
Bin, binti, bte, a/l, a/p, noktah, jarak. Tarikh tutup dan tarikh akhir permohonan, 30 april 2022 ; Permohonan pendaftaran darjah satu ke sekolah agama kerajaan johor tahun 2023/2024 | panduan untuk ibu dan ayah yang ingin membuat .
Bin, binti, bte, a/l, a/p, noktah, jarak. Permohonan pendaftaran secara dalam talian (online) kemasukan murid ke tahun satu sekolah rendah kerajaan (kementerian pendidikan malaysia) bagi seluruh . Permohonan pendaftaran darjah satu ke sekolah agama kerajaan johor tahun 2023/2024 | panduan untuk ibu dan ayah yang ingin membuat . Pendaftaran ini hanya untuk murid yang mendapat surat penempatan pagi di skpp 18(1) sahaja.

Pendaftaran ini hanya untuk murid yang mendapat surat penempatan pagi di skpp 18(1) sahaja.
Syarat permohonan pendaftaran murid tahun 1 2023/2024.
Permohonan pendaftaran darjah satu ke sekolah agama kerajaan johor tahun 2023/2024 | panduan untuk ibu dan ayah yang ingin membuat .
Tarikh tutup dan tarikh akhir permohonan, 30 april 2022 ;

Permohonan pendaftaran darjah satu ke sekolah agama kerajaan johor tahun 2023/2024 | panduan untuk ibu dan ayah yang ingin membuat .

Permohonan pendaftaran darjah satu ke sekolah agama kerajaan johor tahun 2023/2024 | panduan untuk ibu dan ayah yang ingin membuat .

Tarikh tutup dan tarikh akhir permohonan, 30 april 2022 ;
Post a Comment for "Contoh Borang Pendaftaran Tahun 1 / Garis Panduan Dan Borang Pendaftaran Pbl Koakademik Membalik Buku Halaman 1 6 Anyflip"